小升初真题汇编:解方程或比例(专项训练)-小学数学六年级下册青岛63版
![图片[1]-小升初真题汇编:解方程或比例(专项训练)-小学数学六年级下册青岛63版-简单街-jiandanjie.com](https://jiandanjie.com/wp-content/uploads/2025/03/59637057dd74401096bfb053a9307a8c-1.jpg)
![图片[2]-小升初真题汇编:解方程或比例(专项训练)-小学数学六年级下册青岛63版-简单街-jiandanjie.com](https://jiandanjie.com/wp-content/uploads/2025/03/59637057dd74401096bfb053a9307a8c-2.jpg)
——预览已结束,还剩14页未读——
开通会员后可免费下载高清完整文档
文档可直接打印使用,更多完整内容请关注官方网址https://jiandanjie.com 查询 或关注 #小程序:说明书指南
![图片[3]-小升初真题汇编:解方程或比例(专项训练)-小学数学六年级下册青岛63版-简单街-jiandanjie.com](https://jiandanjie.com/wp-content/uploads/2025/01/说明书指南小程序码.jpg)
#公众号: 说明书指南
![图片[4]-小升初真题汇编:解方程或比例(专项训练)-小学数学六年级下册青岛63版-简单街-jiandanjie.com](https://jiandanjie.com/wp-content/uploads/2025/01/gzh_shuomingshuzhinan.jpg)
以下仅提取部分文档的文字供展示
![图片[3]-小升初真题汇编:解方程或比例(专项训练)-小学数学六年级下册青岛63版-简单街-jiandanjie.com](https://jiandanjie.com/wp-content/uploads/2025/01/说明书指南小程序码.jpg)
#公众号: 说明书指南
![图片[4]-小升初真题汇编:解方程或比例(专项训练)-小学数学六年级下册青岛63版-简单街-jiandanjie.com](https://jiandanjie.com/wp-content/uploads/2025/01/gzh_shuomingshuzhinan.jpg)
以下仅提取部分文档的文字供展示
小升初真题汇编: 解方程或比例 〈专项训练) -小学数学六年级下册青岛版
1 《2022.曲阳) 解比例
3 1 1工
《D 和 we
2
《2) 3,5-4.2, x
3
G) 训=普
2.〈2022.滩县) 解方程
《CD 条83=324x
(2) 50%xt和07
-5
03) xs 075<
3.〈2022.思平) 解方程
1_3
《CD xs了一下
CD xx和24
4 (2022.龙湖) 求未知数 x。
(CD xs 12=3: 4
《2) 32x-4x3-52
G) Sec2e 下
简单街-jiandanjie.com-学科网简单学习一条街 https://jiandanjie.com
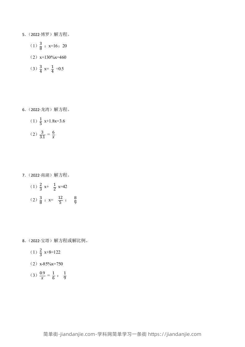
5.〈2022.博罗) 解方程.
《0D 时 ,x=16: 20
《2) x+130%6x=460
3 LI,
(03) 对r 到305
6.〈2022.龙湾) 解方程-
《0D 生xtL8&x=36
3 6
(2) 宁=交
7 (2022.南湖) 解方程-
(0D 生计z42
3
52) 如
en
8.〈2022.宝塔) 解方程或解比例-
《CD 对x+8=122
《2) x-85%6x=750
1 1
09 _
6G) 定=冰: 可
简单街-jiandanjie.com-学科网简单学习一条街 https://jiandanjie.com
© 版权声明
文章版权归作者所有,未经允许请勿转载。
THE END
喜欢就支持一下吧












window.onload = function(){setTimeout(function () {$('#modal-system-notice').modal('show');
$.cookie("showed_system_notice","showed", {path: "/",expires: 0.125});
}, 500)};